甲霜灵
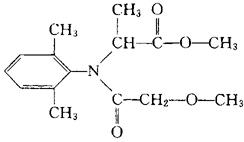
又称瑞毒霉。 乙酰丙氨酸类杀菌剂。化学名称:D,L-N-(2,6-二甲基苯基)-N-(2′-甲氧基乙酰)丙氨酸甲酯。化学结构式如下。原药淡褐色结晶,20℃时水中溶解度7.1g/L,在甲醇中溶解65%,溶于多种有机溶剂。 1977年由瑞士汽巴-嘉基公司开发。选择性内吸杀菌剂,主要对腐霉菌、疫霉菌和霜霉菌有特效,种子处理、土壤浇灌、叶面喷洒都可,有较强的植物吸收和双向运转的功能,以向顶输导为主。残效期长,对由卵菌引起的多种作物病害具保护和治疗作用。为扩大防治范围,可与其他保护剂如代森锰锌、灭菌丹、硫酸铜等制成混剂。对植物安全,对大鼠急性口服LD50669mg/kg,经皮LD50>3100mg/kg,对野生动物和鱼类毒性极小。 
|