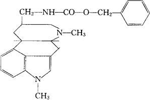
甲麦角林[中]
C25H29N3O2=403.52 CAS-17692-51-2 (±)-N-(羧基)-1-甲基-9,10-二氢麦角胺苄酯。 (±)-N(Carboxy)-1-methyl-9,10-dihydrolysergamine benzyl ester. [[(8β)-1,6-二甲基麦角灵-8-基]甲基]氨基甲酸苯甲基酯。 [[(8β)-1,6-Dimethylergolin-8-yl]methyl]carbamicacid phenylmethyl ester. 5-羟色胺拮抗药,镇痛药,解热药。 Metergoline,FI 6337,MCE,Methergoline,Almi gran,Liserdol. INN,BAN,DCF,DCIT,USAN,MI.  |