网站首页  词典首页


请输入您要查询的字词:

 

字词 电动机的火灾预防措施
类别 中英文字词句释义及详细解析
释义 电动机的火灾预防措施

选择、安装和运行保护是预防电动机火灾的几个方面,忽视任一方面都可能引起事故,造成火灾带来损失。因此只有把好每一个环节的关,才有可能避免烧毁电动机和由此引起的火灾事故。

(一)正确地选择电动机的容量和型式

电动机功率和机型的选择既关系到安全问题又涉及经济的问题。如果设计中选择不当,则不是造成浪费就是造成事故,毁坏设备,酿成火灾。

首先,所选电动机电压应与电源电压相符。另外电动机的使用条件要合乎机械负载的性质要求,这里包括起动时对起动转矩大小的要求,调速要求,自起动要求等各方面拖动技术上的要求。

1.合理地选择电动机的功率

电动机的功率一般指其输出的机械功率。若功率选得太小,会造成“小马拉大车”现象,使之长时间过载运行,会加速电机绝缘老化而损坏,甚至烧毁电机。功率选得太大,使出力得不到充分利用而浪费,使电机功率因数和效率降低,加大电网的无功功率,对电网极为不利,这不仅增加了设备费用,同时运行也不经济。

2.合理地选择电动机的型式

三相异步电动机的选型关系到电动机在运行中能否安全。如果在易燃易爆场合下选择了一般防护式电机,当电动机发生故障时产生的高温、火花、电弧将会引燃物质或引爆爆炸性混合物。所以宜根据安装地点和工作环境选用不同型式的电机。

(二)正确选择电动机的起动方式

众所周知,电动机起动时起动电流很大,这对绝缘和安全都不利,故应选择正确合适的起动方式。三相异步电动机分为鼠笼式和绕线式两大类。由于它们的结构性能的不同,起动方式也不尽相同。

1.鼠笼式电机起动方式的选择

该型电机有直接起动与降压起动两种方式。

(1)直接起动方式。直接起动即所谓的全压起动,方法简便。起动时将全部电源电压加到定子绕组上,起动电流较大,一般可达电机额定电流的4~7倍。根据对国产电动机的实际测定结果,某些鼠笼式异步电动机的起动电流甚至达到8~12倍。所以如果频繁起动,这样大的电流易使电动机过热,影响电机寿命。同时造成电网电压波动或降低,而影响同一电网的其他用电设备的工作,故直接起动电动机受到了容量的限制。

一般规定,异步电动机的功率低于7.5kW时允许直接起动。如果功率大于7.5kW,而电源总容量较大,能符合下式起动倍数的要求者,也可直接起动:

(a)延边三角形;(b)三角形

在采取延边三角形接法时,它把Y和△两种接法结合了起来。当端头D1、D2、D3接至电源时,电动机每相绕组(如D1D4)所承受的电压就小于三角形接法的380V,而大于Y接法时的相电压220V。每相绕组电压的大小是随电机绕组抽头(D7、D8、D9)的位置而改变。如果接成Y部分的线圈(D1D7、D2D8、D3D9)的匝数越多,电动机的相电压就越低。

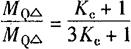
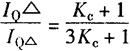
为了比较延边△起动与△直接起动时电流大小,根据电工理论中星形——三角形转换公式,可以将图4-5-7(a)中延边三角形接法转换为图4-5-8中等值星形接法,

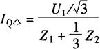
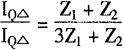
其中与△D7D8D9等值的星形D7D8D9每相参数为。由图4-5-8可求得粗略估算延边三角形起动时的线电流为:

三角形接法直接起动时的线电流估算为:

两种情况,它们的起动电流之比为:

为星形部分的抽头(D1D7)与三角形部分的抽头(D7D4)间阻抗之比,将其代入上式可得:

同样可得延边三角形接线起动转矩与三角形接线直接起动转矩之比为:

可见采用△/△起动的优点,不用自耦变压器,只要调节定子绕组的抽头比Kc,就可以得到不同数值的起动电流和起动转矩,以适应不同的使用要求。但其有九个接线端子,切换开关比较复杂。

总之,降压起动减小了起动电流,但起动转矩也相应降低,只适用于轻载或空载起动。表4-5-1列出了各种降压起动方法与直接起动相比较的不同特点,以供参考。

表4-5-1 电动机降压起动方法比较

2.绕线式异步电动机的起动方式的选择

(1)转子串接电阻起动:绕线式转子串接电阻起动,可以减小起动电流和增大起动转矩,从而减少起动时间。可见,绕线式比鼠笼式异步电动机有较好的起动特性,适用于重载起动。

(2)转子串接频敏变阻器起动:转子串电阻起动绕线式电动机,电阻逐段变化,转矩每段变化也较大(即变化突然不平滑)。这样对机械负载冲击较大,所需控制设备也较庞大,操作维护不便。如果采用频敏变阻器代替上述起动电阻,则可克服上述缺点。频敏变阻器的特点是其电阻值随转速上升而自动减小,其电阻值连续变化,因此能使电动机平稳起动。

电动机起动电流大,是一个不安全因素。这要求我们必须根据电机型式、容量、电源情况、电网情况合理地选择其起动方式。不然,起动方式选择得不合理会使运行条件变坏,影响同一网上其他负荷的正常供电,或使电机使用寿命缩短,甚至烧坏。我们必须注意,不仅电动机本身能成为火源,有时起动和控制电器(如闸刀开关,接触器,自动开关、变阻器等)也有可能成为发生火灾的根源。

(三)正确选择电动机的保护方式

1.短路保护

对于中小容量电动机来说,多用熔断器进行短路保护既简单又可靠。

2.失压保护

利用磁力起动器的线圈在起动电动机的控制回路中起失压保护作用。自动空气开关、自耦降压补偿器一般也装有失压脱扣装置。主要用于防止电机在低压下长期运行及在电源恢复供电后的自起动。

3.过载保护

一般采用热继电器或过电流延时继电器来保护,这样可以充分利用电机的短期过载能力。

4.断相运行保护

反映断相后电流变化的保护装置有:热继电器,欠电流继电器,晶体管断相保护电路、负序电流过滤器。

反映电压变化的保护装置有:低电压继电器、零序电压保护器、断线电压保护器、负序电压过滤器,可视需要加以采用。

以上为中、小型三相异步电动机保护。高压大容量电机的保护方式有所不同。

随便看

 

离鸟网收录3541549条中英文词条,其功能与新华字典、现代汉语词典、牛津高阶英汉词典等各类中英文词典类似,基本涵盖了全部常用中英文字词句的读音、释义及用法,是语言学习和写作的有利工具。

 

Copyright © 2004-2024 vtrois.com All Rights Reserved
更新时间:2026/5/31 19:51:33