网站首页  词典首页


请输入您要查询的字词:

 

字词 电容式水分计的测量计算
类别 中英文字词句释义及详细解析
释义 电容式水分计的测量计算

[说明]如图4-6-2所示是美国的杭那维尔公司生产的“阿克瓦索特”型水分计的线路图。由电容器C1、C2、C3和C4组成的不平衡电桥,由高频振荡器供电。电容器C1和C4是测量电容器,它们的电容值取决于纸页水分。当桥路平衡时:

C1C4=C2C3

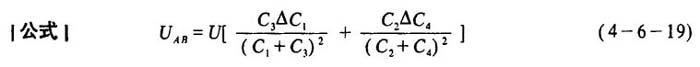
在工作过程中,电容值C1和C4是由于被测纸页水分的变化而变化,并且桥路是不平衡的。这时,在测量桥路的对角线中所产生的不平衡电压计算如下。

式中 U4B——桥路的对角线中所产生的电压(V)

U——桥路的电源电压(V)

△C1、△C4——变速器电容C1和C4的变化量

[讨论]当C1=C4=C0,C2=C3=C时,在测量桥路的对角线中的电压为:

式中符号含义及单位同上

随便看

 

离鸟网收录3541549条中英文词条,其功能与新华字典、现代汉语词典、牛津高阶英汉词典等各类中英文词典类似,基本涵盖了全部常用中英文字词句的读音、释义及用法,是语言学习和写作的有利工具。

 

Copyright © 2004-2024 vtrois.com All Rights Reserved
更新时间:2026/4/5 18:17:19