电容的概念
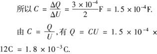
1.电容器所带的电荷量,是指每个极板所带电荷量的绝对值 如:电容器所带电荷量Q=3×10—2C,这说明电容器的正极板带的电荷量为Q1=+3×10—2C,负极板带的电荷电为Q2=—3×10—2C. 2.电容的定义 (1)定义:电容器所带的电荷量Q与电容器两极板间的电势差U比值,叫电容器的电容.用C表示.  (3)单位:国际单位制中,电容单位是法拉,简称法,符号F. 如果电容器带1C电荷量时,两极板电势差为1V,则它的电容为1F,法拉单位太大,常用微法(μF)和皮法(pF). 1μF=10—6F 1pF=10—12F (4)电容器的电容是表示电容器容纳电荷本领的物理量. 电容器的电容在数值上等于使两极板的电势差为1V时电容器所需要带的电荷量,电容越大,表示需要的电荷量越多,则电容器容纳电荷的本领越大. 3.电容的特性 (1)电容是由比值定义的物理量,具有客观性.电容的大小与电容器是否带电荷无关,电容器的电容是由两导体的形状和大小,两导体相对位置和极板间电介质决定的. (2)电容器一经制成后,其本身的电容C就确定了,定义式 只是给我们提供测量它的电容大小的方法.不能说C与Q成正比,与U成反比,对于同一电容器,其所带电荷量Q与极板的电势差U成正比,它们的比值就是电容C. (3)由公式 可知 ,即电容器所带电荷的改变量与其极板电势差的改变量成正比,其比值是电容器的电容. 例:一电容器,充电后两极板的电压为10V,当它所带电荷量增加3×10—4C时,其极板的电压变为12V,则电容器的电容为多少?电压为12V时所带电荷量为多少? 分析 因△Q=3×10—4C,△U=(12—10)V=2V,  |