网站首页  词典首页


请输入您要查询的字词:

 

字词 电液位置控制系统
类别 中英文字词句释义及详细解析
释义 电液位置控制系统

设有一数控机床工作台的位置需要连接控制,其技术要求

指令速度信号输入时引起的速度误差为

ev=5mm

干扰为位置输入时引起的位置误差

epf=±0.2mm

给定设计参数为

工作台质量 m=1000kg

最大加速度 amax=1m/s2

最大行程 S=50cm

最大速度 v=8Cm/s

工作台最大摩擦力 Ff=2000N

最大切削力 Fc=500N

供油压力 ps=6.3MPa

反馈传感器增益 Kf=1V/cm

确定系统的主要参数。

(1)确定系统方案

采用图34.4-1的伺服阀控制液压缸的系统结构。

(2)确定工作台速度和负载力的关系

负载力由切削力Fc摩擦力Ff和惯性力Fa等组成。惯性力Fa按最大加速度考虑

Fa=mamax=1000N

系统在最恶劣的负载条件下工作时的总负载力F=3500N。工作台速度和负载力的关系曲线如图34.4-2所示。

(3)确定液压缸有效工作面积A和结构尺寸D,d令负载压力,因为F=ApL,所以

(A)电液伺服阀的传递函数

额定流量8L/min的伺服阀在供油压力ps=6.3MPa时的空载流量为7.6L/min,阀的增益为

从图中可见,系统频宽f-3dB时,稳定裕量为5dB和90°。

(7)计算系统稳态误差

·指令输入最大速度v=8cm/s时的误差为

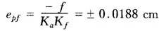
·干扰输入引起的误差:干扰有伺服放大器温度零飘、伺服阀的零飘和磁滞及执行元件的不良灵敏度等,将其总和折合成伺服阀输入电流的干扰为f=±0.02IR,对这个干扰来说,系统属于O型,当其在一段时间内为常量时,系统的位置误差为

可见,系统达到了原定设计指标。

随便看

 

离鸟网收录3541549条中英文词条,其功能与新华字典、现代汉语词典、牛津高阶英汉词典等各类中英文词典类似,基本涵盖了全部常用中英文字词句的读音、释义及用法,是语言学习和写作的有利工具。

 

Copyright © 2004-2024 vtrois.com All Rights Reserved
更新时间:2026/4/6 13:31:50