电磁振荡的周期和频率
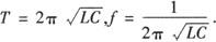
当线圈的自感系数L越大时,对电流变化的阻碍作用越明显,电流变化越缓慢;当电容器的电容越大时,它能容纳的电荷就越多,充电放电所需时间就越长,所以L越大,周期就越大;C越大,周期就越大. LC振荡电路的周期和频率分别为:  与电容器的带电荷量,极板间电压,回路中电流都无关. 例 LC振荡电路中的电容器电容为C,线圈的电感为L,则正在振荡的过程中( ). A.电场能和磁场能相互转化的周期为 B.电场和磁场相互转化的周期为 C.电容器放电的时间取决于L和C的数值 D.电容器放电的时间取决于充电压的大小 分析 电容器充、放电每次所用时间都为四分之一周期,仅与决定周期的线圈的电感L和电容器的电容C有关,而与充电电压大小无关;因电场和磁场都是有方向的,所以电场和磁场的转换周期 ,而电场能和磁场能是标量,所以其转化周期为T/2,即 . 答 B、C. |