电路基本定律的相量形式
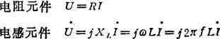
4.3.1 欧姆定律的相量形式 在正弦交流电路中,无源元件R、L和C在关联正方向下,它们的电压和电流的相量关系是:  电容元件 =-fXC =-f =-f  式中XL和Xc分别称为感抗和容抗,单位是欧姆(Ω)。 上述三元件在交流电路中的电压与电流的相量关系,可归纳为一个表达式 =Z (8.1-7) (8.1-7)式常称为欧姆定律的相量形式,式中Z为复数阻抗,单位为欧姆(Ω)。 4.3.2 克希荷夫定律的相量形式 克希荷夫电流定律的相量形式为 ∑ =0 (8.1-8) (8.1-8)式说明在交流电路中流入和流出任一节点电流相量的代数和等于零。 克希荷夫电压定律的相量形式为 ∑ =0 (8.1-9) (8.1-9)式说明在交流电路中任一回路电压相量的代数和等于零。 |