网站首页  词典首页


请输入您要查询的字词:

 

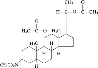
字词 甾伐地尔
类别 中英文字词句释义及详细解析
释义 甾伐地尔

C27H45NO4=447.66

CAS-6835-03-1

3β-(二甲氨基)-5α-孕甾烷-18,20α-二醇二乙酸酯。

3β-(Dimethylamino)-5α-pregnane-18,20α-diol diacetate(ester).

血管扩张药。

Stevaladil.

INN,DCF,USAN.

随便看

 

离鸟网收录3541549条中英文词条,其功能与新华字典、现代汉语词典、牛津高阶英汉词典等各类中英文词典类似,基本涵盖了全部常用中英文字词句的读音、释义及用法,是语言学习和写作的有利工具。

 

Copyright © 2004-2024 vtrois.com All Rights Reserved
更新时间:2026/4/7 8:01:52