网站首页  词典首页


请输入您要查询的字词:

 

字词 病例对照研究
类别 中英文字词句释义及详细解析
释义 病例对照研究

分析流行病学研究方法中最基本、最重要的研究类型之一,是检验病因假说的重要工具。

其基本原理是以现在确诊的患有某种特定疾病的病人作为病例,以不患有该病但具有可比性的个体作为对照,通过询问、实验检查或复查病史,搜集既往各种可能的危险因素的暴露史,测量并比较病例与对照者中各因素的暴露比例,经统计学检验,若判断为有意义,则可认为因素与疾病间存在著统计上的关联。在评估各种偏性对研究结果的影响之后,再借助病因推断技术,推断出某个或某些暴露因素是疾病的危险因素,而达到探索和检验疾病病因假说的目的,这是一种回顾性从果查因的研究方法,是在疾病发生之后去追溯假定的病因因素。

这种研究方法非常适合于罕见疾病和长潜伏期疾病的病因研究,能充分地利用资料信息,对研究对象无伤害,同时一次研究可探索多种病因假设。

最早的CCS见于1843年W A Guy向伦敦统计学会所做的报告,该报告分析了职业暴露和肺结核发生的关系。

而CCS的概念最早见于PCA Louis的著作(1844),但是符合现代病例对照研究概念的研究首推J.E.Lane-Claypon报告的关于生殖因素与乳腺癌关系的研究结果。该研究资料首次提出选择配比的医院对照的方法;直到第二次世界大战后,病例对照方法的流行病学应用才大大增加。

1947年,Schreck和Lenowitz报告了一项阴茎癌的病例对照研究资料,提出未做包皮环切和性卫生不良是阴茎癌的病因因素。1947年,Sartwell用病例对照研究证实了输血与肝炎的关系;1950年报告了3次阐明吸烟可能是肺癌的一个病因的病例对照研究资料。

50年代应用病例对照研究方法研究了白血病、膀胱癌、乳腺癌、宫颈癌、喉癌、肺癌和胃癌等的病因。该设计方法还应用于急性病,如食物中毒的爆发调查。

1951年,Cornfield以方法学证明可以根据病例对照研究资料估计相对危险度,即暴露者中发生疾病的频率与非暴露者中者发生疾病频率之比。1959年,Mantel和Haenszel将该方法进一步系统化,并且提出两种分析技术,即总的卡方检验和相对危险度的联合估计。

此后,该方法被数以千计的流行病学研究者所选用,一些有代表性的研究课题包括药物不良反应、母亲吸烟与先天畸形的关联、小剂量放射线照射与白血病的关联、体力活动与冠心病死亡的关联、使用阴道塞与中毒性休克综合症的关联、高龄初产与乳腺癌的关联、酒精消耗量与食道癌的关联等病因研究,用其他流行病学方法难以行得通时,应用病例对照研究方法却取得很大成功。其中,1971年Herbst等应用病例对照研究方法只用8个病例就阐明已烯雌酚与年轻妇女阴道腺癌的关联。60年代以来,病例对照研究方法日臻完善,并且日益得到应用,目前不仅是流行病学工作者常用的研究工具之一,而且已成为临床医师完成临床流行病学研究课题的一种重要方法,这种方法的主要进展有:

对可能影响研究结果的各种偏倚有了较多的认识 常见偏倚近30种,对这些偏倚的估计和控制有了新的方法,如应用某些限制性方法、随机抽样和分层抽样的方法以防止选择偏倚和混杂偏倚;应用精心设计的调查技术和实验技术以减少暴露的错误分类;应用某些先进可靠的诊断方法以减少疾病的错误分类;暴露错分和疾病错分是病例对照研究中信息偏倚的主要成分。在分析阶段,虽不能控制和减少选择偏倚和信息偏倚,但对其导致研究结果的失真程度可以做出估计。

此外,分析时还可以应用Mantel-Haenszel分层分析方法和Logistic回归模型分析方法,有效地控制混杂偏倚。

研究设计类型多样化 在病例对照研究基本原理指导下,不断发展了一些新型的设计和相应分析方法,例如序贯病例对照研究(Sequential CCS)。

这种方法不是等提前决定的病例数齐备后再调查,而是连续收集资料。还有一种杂交设计,称双向性研究法,是病例对照研究与队列研究的结合,可以研究罕见暴露的健康效应。

单因素统计推断方法、传统的M-H分层分析方法得到广泛的应用和完善;成组资料多暴露水平的统计推断方法为分析剂量反应关系提供一个有力的分析手段;使某因素在病例组和对照组的分布相一致的频数匹配方法,以及根据每个病例匹配相应的对照的配对方法,一个病例匹配多个对照的1∶M配比方法,均具备了完整的分析体系,它不但非常适用于罕见病的病因研究,而且在控制主要的混杂变量及提高分析效率方面有其独到之处。

由于实际工作的需要,不同对照数目的配比资料的统计推断方法也得到发展。

CCS还应用于筛检后的研究,同时CCS还在实践中不断充实和发展,从研究罕见病扩大到研究常见病,如空气污染与肺癌的关系、宫外孕的危险因素、视网膜剥离的研究等等;近年来还较多地应用于对具有遗传素质疾病的环境影响进行研究以及家庭聚集性研究,甚至于效益分析的研究。

多因素统计推断方法的引入使CCS的功能得到最大程度的发挥 Logislic回归模型为最常用的方法。

它在分析多个危险因素的联合效应、危险因素和混杂因素之间的交互作用与效应修饰作用,控制多个混杂因子所致的混杂效应方面,都具有独特的分析能力。它能为多个危险因素与疾病概率之间的相关关系提供一个平稳、易懂和定量的主要特征的描述;同时,它也能提供个体患病危险的概率预告值。

CCS是建立在暴露与疾病联系的测量基础上进行统计学推断和生物学推断的。统计学推断是检验暴露与疾病之间有无统计上的联系,并估计和分析选择偏倚、信息偏倚和混杂偏倚对研究结果的影响。

生物学推断是用逻辑判断的方法审核暴露与疾病间的联系是否存在著因果关系。其基本分析方法就是比较病例和对照中暴露的比例,计算暴露的优势比,用以估计患病的优势比,在发病率低的情况下估计相对危险度。

如果知道人群中暴露的比例和非暴露组的发病率,CCS的资料亦可计算归因危险和人群归因危险。

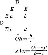
频数匹配资料分析的基本模式为:

D、分别为病例和对照,E、分别为暴露和未暴露,暴露的优势比EOR=ad/bc,该值是否显著地不同于1可用M-H卡方检验

1∶1配对资料分析的基本形式为

归因危险度的测量为一旦确立了某个因素是疾病的主要危险因素,便可进一步查明所有新病例中由于该因素所致的比例。

病例对照研究中有4种要素,这就是人群、病例、对照、暴露。

明确产生病例的人群和从这一人群中正确地挑选对照组,并正确地收集暴露资料,这是CCS的精髓。在设计阶段就应明确规定特指的人群,保证完全地收集该人群产生的病例,并正确地从该人群中选择对照组,这就是以人群为基础的CCS首先规定病例的条件;将研究包括的病例看作是某理论人群产生的全部病例,根据病例的定义确定产生这些病例的人群,然后选择适当的对照组。此时病例常来自于医院,因此常称这类研究是以医院为基础的CCS。

通过收集一定条件的病例,再根据病例的定义确定产生病例的人群和正确地选择对照组,如果不存在错误分类的话,这种研究的结果将能真实地反映暴露与疾病的联系。

在CCS中,对照即研究中包含的未患所研究疾病的个体,正确地选择对照组是CCS成功的关键。

CCS中对照组的目的是用来估计产生病例的人群中暴露的分布情况,因此选择对照组要有代表性,即代表产生病例的人群;同时要有可比性,即病例组和对照组在某些混杂变量上相同或类似。

暴露指疾病的可能危险因素。

暴露可能是指暴露于外源性环境的污染物,如饮水中的镉、甲基汞、砷的污染,吸烟、饮酒或大气与工作环境中的各种污染等;暴露亦指内源性的因素,如基因型、血浆胆固醇水平、血中某些激素的水平以及心理压抑、精神创伤等。在评价暴露与疾病的联系时,暴露的工作定义将影响评价结果,因此每种暴露均需有严格的定义。

CCS研究中控制各种偏倚以保证研究的真实性,以及选择恰当的对照组是两个难以处理的问题。近年来对CCS的功效越来越重视,所谓功效,即当无效假设(HO∶OR=1)是错误的时候,人们的研究工作有多大的可能性拒绝无效假设。

这些问题并不能影响CCS的价值,尤其值得注意的是,中国80年代以来临床医师开始将这种方法应用于临床研究。

【参考文献】:

1 Liang K Y, et al. Am J Epidemiol. ,1986,124:678-683

2 Rodrigues L , Kirkwood B R. Int J Epidemiol. ,1990,119: 205-213

3 YunT-K , choi S Y. Int J of Epidemiol. ,1990,19:871-6

4 Austin, et al. Int J Epidemid. ,1990,119:1045-1050

5 Kopec J A , Fsdaile J M. J of Epidemidogy and community Health,1990,44(3): 179-186

6 Tennant A, Badley E M. J of Epidemiology and Community Health,1991,45:247-250

7 Van duijn C M, et al. Int J of Epidemiol. ,1991,20(2) ,sl3 -s20

8 Moulton L H, et al. J. Clin. Epidemiol. , 1991,44(9): 915 - 923

9 Phillips P H, et al. Am. J. Epidemiol. , 1990,133:757 - 765

(天津医科大学王建华教授撰)

随便看

 

离鸟网收录3541549条中英文词条,其功能与新华字典、现代汉语词典、牛津高阶英汉词典等各类中英文词典类似,基本涵盖了全部常用中英文字词句的读音、释义及用法,是语言学习和写作的有利工具。

 

Copyright © 2004-2024 vtrois.com All Rights Reserved
更新时间:2026/5/27 22:43:28