网站首页  词典首页


请输入您要查询的字词:

 

字词 癌散
类别 中英文字词句释义及详细解析
释义 癌散

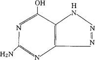
C4H4N6O=152.12

CAS-134-58-7

5-氨基-1,6-二氢-7H-1,2,3-三唑并[4,5-d]嘧啶-7-酮。

5-Amino-1,6-dihydro-7H-1,2,3-triazolo[4,5-d]pyrimidine-7-one.

抗肿瘤药,嘌呤拮抗药,用于宫颈癌、乳腺癌、肠癌、胃癌及白血病等。

阿扎鸟呤,氮枸呤。

8-Azaguanine,Antibiotic SF 337,NSC 749,Guanazolo,Pathocidin.

MI

随便看

 

离鸟网收录3541549条中英文词条,其功能与新华字典、现代汉语词典、牛津高阶英汉词典等各类中英文词典类似,基本涵盖了全部常用中英文字词句的读音、释义及用法,是语言学习和写作的有利工具。

 

Copyright © 2004-2024 vtrois.com All Rights Reserved
更新时间:2026/4/6 17:11:10