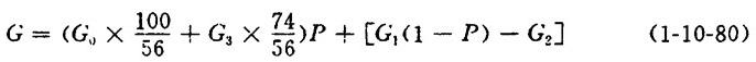
白泥量的计算
【说明】 白泥包括苛化反应生成的CaCO3、过量石灰所形成的Ca(OH)2,以及/石灰中的惰性物。 (一)方法一 【公式】  式中 G——白泥量(kg) P——石灰纯度(%) G1——石灰用量(kg) G2——提渣机带出的砂砾(kg) 【注意】 该法假定全部CaO转化为CaCO3,未考虑过剩石灰的影响,故不够准确。 (二)方法二 【公式】  式中 G——白泥量(kg) G0——理论石灰用量(kg) G3——过剩石灰用量(kg) 100、74、56—-分别为CaCO2、Ca(OH)2和CaO的摩尔质量 其它同上 |