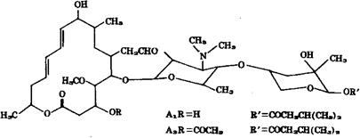
白霉素[中]
CAS-1392-21-8 由Streptonyccs kitasatoensis发酵产生的混合物。 Antibiotic produced by Streptomyces kitasatoensis. 北里霉素。 Kitasamycin. 柱晶白霉素。 Leucomycin. 抗生素类药。用于抗青霉素的葡萄球菌感染及链球菌、肺炎球菌的感染。 吉他霉素。 Kitasamycin,Stereomycine. 白霉素片,注射用柱晶白霉素(注射用酒石酸柱晶白霉素)。 INN,DCF,JP,USAN,MI. 
|