百两金叶
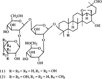
【名称出处】:《福建中草药》 【概况】: 基源 为紫金牛科紫金牛属植物百两金的叶。 原植物 百两金Ardisia crispa(Thunb.)A.DC.(Bladhia crispa Thunb.;Ardisia hortorum Maxim.ex Regel;Ardisia henryi Hemsl.),又名开喉箭、八爪金龙(《中国高等植物图鉴》)。 余项参见“百两金”条。 。【化学】: 含有两个三萜皂甙,即百两金叶素A(Ardisia crispin) A(1)和百两金叶素B(Ardisiacrispin B)(2),这两种成分具有子宫收缩活性。  参考文献 Planta Med 1987;53(5):405 【药性】: 性味 苦、辛,平。 功效 清热解毒,散瘀止痛。 主治 疖肿,跌打损伤。 《分类草药性》:“包损伤,涂诸疮,通淋。” 用法用量 外用:捣敷。 |