百分位数
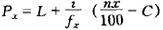
把一组变量值从小到大排列起来,分为100等分,与x%位次相对应的数值即为第百分之×位数。 如位于全部变量值5%位置的那个变量值,称为第百分之五位数,其意义为全部变量值个数比该值小的变量值有5%,比该值大的变量值有95%;如位于95%位置的那个值称第百分之九十五位数;50%位数即中位数。百分位数的计算公式为:  式中Px为第×百分位数,fx为Px所在组段的频数,i为该组段的组距,L为该组段的F限,C为小于L的各组段的累积频数,n为总频数。百分位数可用来表示偏态分布的离散情况。 对于偏态分布或分布不明的资料,可以百分位数法估计其正常值范围。 其优点是简便,快速,可用于各种分布型的资料,缺点是样本的例数较少时,接近两极的百分位数不够稳定。 |