百分位数法
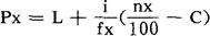
是以大数量横剖面调查资料的中位数,即第50百分位数为基准值,以其余百分位数为离散距评价身体发育的方法。 很多研究结果表明,在各种身体发育指标中,有些是呈正态分布的(如身高),有些只是近似正态分布或出现较明显的偏态(如体重、胸围等),因此,在评价身体发育水平时,一律用平均数作基准值,以标准差为离散距来划分各发育等级的标准是不适宜的。而百分位数法以中位数代替平均数作基准值,以其他各百分位数代替标准差作离散距来划分各发育等级的标准,不仅适用于正态分布的指标,而且也适用于非正态分布的指标,还可在制定评价标准之前省略对有关发育指标进行分布特征的正态检验这一步骤。所以,目前国际上进行身体发育评价时已越来越多地采用百分位数法。 百分位数法的计算公式如下:  上式中PX为第X百分位数,L为PX所在组段的下限,i为PX所在组段的组距,fX为PX所在组的频数,n为总频数,C为PX所在组以前的累计频数。 计算时,先将所有样本的某项发育指标制成频数表,然后代入公式求某个百分位数。 在用百分位数法进行某项身体发育评价之前,可以根据评价等级标准制成“身体发育评价表”或“身体发育评价图”。在制定评价表或评价图时,应按城、乡、男、女分类制作。首先要分别计算各类、各年龄组主要形态指标的第3、10、25、50、75、90、97百分位数,然后按评价等级的标准,将同一指标、各年龄组百分位数值列入表中,即成“身体发育评价表”。 附表 百分位数发育等级评价标准  附表2 某城市7-17岁男生身高发育评价表(百分位数法) 
|