网站首页  词典首页


请输入您要查询的字词:

 

字词 百分等级
类别 中英文字词句释义及详细解析
释义 百分等级

一种经常使用的表示数据在整个分布中相对地位的一种量数,是一种相对地位量数。

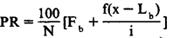
可用符号PR表示。对于给定的任一分数,计算其百分等级的分式如下:

其中:X——给定的原始分数

f——该给定分数的所在的次数

Lb——该给定分数所在组的精确下限

Fb——该给定分数所在组精确下限以下的各组次数的和

N——总次数

i——组距

百分等级用以表示某分数在一个分布中的相对地位。例如,某原始分数为72分,求得的百分等级为90,则可解释为在这一分布中,有90%的分低于72分。

随便看

 

离鸟网收录3541549条中英文词条,其功能与新华字典、现代汉语词典、牛津高阶英汉词典等各类中英文词典类似,基本涵盖了全部常用中英文字词句的读音、释义及用法,是语言学习和写作的有利工具。

 

Copyright © 2004-2024 vtrois.com All Rights Reserved
更新时间:2026/5/25 20:52:25