皮革喷涂棕RG
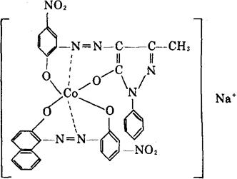
【国外相应商品名】 Eukesolar Brown R,RG(BASF) Vialon Fast Brown R(BASF) 【结构式】  【产品质量标准】 企业标准(参照德国巴斯夫公司产品)。 外观: 黄褐色溶液 色光: 与标准品近似 应用性能: 与标准品近似 牢度: 与标准品近似 强度: 为标准品100±±3 注:以BASF Eukesolar Brown RG为标准,强度100分。 【功能与特点】 能溶于酮、醇、酯及醇醚类有机溶剂中。产品为易燃和易挥发液体,具有酒的气味。能与丙烯酸树脂、硝化纤维清漆、聚氨酯树脂相混。色调鲜艳,匀染性较好,耐干、湿擦,色牢度优良。 【用途和用法】 主要用于猪、牛、羊皮等天然革的喷涂或帘幕涂饰,特别适用于苯胺革的喷涂。 【使用注意事项】 存放和使用时严防与明火接触。如遇染料液混浊,乃系染液过饱和,染料析出之故,应将染料液静置,澄清过滤后使用。过滤出来的固体染料可用酒精或乙二醇乙醚溶解后使用。使用时应加入渗透剂,以防喷涂后产生浮色。 【包装贮存】 塑料桶包装。 【主要生产厂家】 山东省青岛染料厂,四川省重庆永顺化工厂。 |