皮革喷涂黄GL
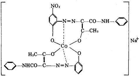
【国外相应商品名】 Amichrome Light Yellow ZRL(Fran) Eukesolar Yellow GL(BASF) Telogen Yellow G-L(BAY) 【结构式】  【产品质量标准】 企业标准(青岛染料厂等)。 外观: 黄褐色溶液 色光: 与标准品近似 应用性能: 与标准品近似 牢度: 与标准品近似 强度: 为标准品100±3 【功能与特点】 微溶于水,易溶于乙二醇乙醚、二甲基甲酰胺和乙醇等有机溶剂,溶于有机溶剂后呈黄褐色溶液即为成品。 【用途和用法】 主要用于猪、牛、羊皮等天然革的喷涂或帘幕涂饰,特别适用于苯胺革的喷涂著色。 【使用注意事项】 存放使用时严防与明火接触。如遇染料液浑浊,乃系染液过饱和,染料析出之故,应将染料液静置,澄清过滤后使用。过滤出来的固体可用酒精或乙二醇乙醚溶解后使用。使用时应加入渗透剂,以防喷涂后产生浮色。 【包装贮存】 20kg塑料桶包装。 【主要生产厂家】 青岛染料厂、重庆永顺化工厂。 |