网站首页  词典首页


请输入您要查询的字词:

 

字词 盐酸乙基罂粟碱
类别 中英文字词句释义及详细解析
释义 盐酸乙基罂粟碱

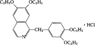
C24H29NO4·HCl=431.96

CAS-985-13-7

1-(3,4-二乙氧苄基)-6,7-二乙氧异喹啉盐酸盐。

1-(3,4-Diethoxybenzyl)-6,7-diethoxyisoquinoline hydrochloride.

解痉药。用于胆绞痛、心绞痛、动脉痉挛及动脉栓塞性疼痛。

盐酸依沙维林。

Ethavarine Hydrochloride,Ethatibid,Ethaquin,Ethatab,Neopavrin,Paveroid.

INN,NFN,USAN,MI

随便看

 

离鸟网收录3541549条中英文词条,其功能与新华字典、现代汉语词典、牛津高阶英汉词典等各类中英文词典类似,基本涵盖了全部常用中英文字词句的读音、释义及用法,是语言学习和写作的有利工具。

 

Copyright © 2004-2024 vtrois.com All Rights Reserved
更新时间:2026/4/6 19:41:22