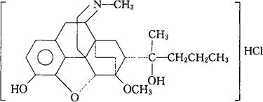
盐酸二氢埃托啡
C25H35NO4·HCl=450.02 7α-[1-(R)-羟-1-甲基丁基]-6,14-内乙桥亚乙基四氢东罂粟碱盐酸盐。 7α-[1-(R)-Hydroxy-1-methylbutyl]-6,14-endoethano-tetrahydrooripavine hydrochloride. 6,7,8,14-四氢-7α-(1-羟基-1-甲基丁基)-6,14-内桥亚乙基东罂粟碱盐酸盐。 6,7,8,14-Tetrahydro-7α-(1-hydroxy-1-methylbutyl)-6,14-endoethanooripavine-hydrochloride. 麻醉性镇痛药。 盐酸双氢埃托啡。 Dihydroetorphine Hydrochloride. 盐酸二氢埃托啡片。  |