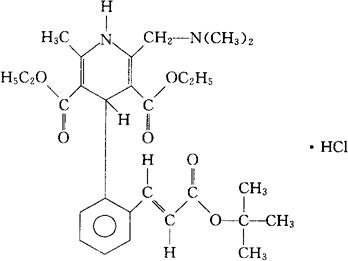
盐酸他鲁地平
C28H38N2O6·HCl=535.08 CAS-108700-03-4 CAS-108687-08-7(taludipine) 2-[(二甲基氨基)甲基]-4-[2-[3-(1,1-二甲基乙氧)-3-氧代-1-丙烯基]苯基]-1,4-二氢-6-甲基-3,5-吡啶二羧酸二乙酯,单盐酸盐,(E)-。 3,5-Pyridinecarboxylic acid,2-[(dimethylamino)methyl]-4-[2-[3-(1,1-dimethylethoxy)-3-oxo-lpropenyl]phenyl]-1,4-dihydro-6-methyl-,diethyl ester,monohydroccloride,(E)-. 4-[邻-[(E)-2-羧烯乙基]苯基]-2-[(二甲氨基)甲基]-1,4-二氢-6-甲基-3,5-吡啶二羧酸4-叔-丁基二乙酯,盐酸盐。 4-o-[(E)-2-Carboxyvinyl]phenyl]-2-[(dimethylamino)-methyl]-1,4-dihydro-6-methyl-3,5-pyridinedicarboxylic acid,4-tert-butyl diethyl ester. 抗高血压药。 Taludipine Hydrochloride,GR 53992B(GX 1296B). INN & BAN(Taludipine),USAN.  |