网站首页  词典首页


请输入您要查询的字词:

 

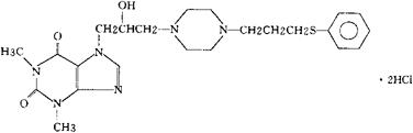
字词 盐酸他齐茶碱
类别 中英文字词句释义及详细解析
释义 盐酸他齐茶碱

C23H32N6O3S·2HCl=545.53

CAS-79712-55-1

CAS-79712-55-3(tazifylline)

(±)-3,7-二氢-7-[2-羟-3-[4-[3-(苯基硫代)丙基]-1-哌嗪基]丙基]-1,3-二甲基-1H-嘌呤-2,6-二酮,二盐酸。

1H-Purine-2,6-dione,3,7-dihydro-7-[2-hydroxy-3-[4-[3-(phenylthio)propyl]-1-piperazinyl]propyl]-1,3-dimethyl-,dihydrochloride,(±)-.

(±)-7-[2-羟-3-[4-[3-(苯基硫代)丙基]-1-哌嗪基]±丙基]茶碱二盐酸盐。

(±)-7-[2-Hydroxy-3-[4-[3-(phenylthio)propyl]-lpiperazinyl]propyl]theophyline dihydrochloride.

抗组胺药,H1-受体拮抗药,支气管扩张药。

Tazifylline Hydrochloride,RS-49014,LN2974.

INN(Tazifylline),USAN.

随便看

 

离鸟网收录3541549条中英文词条,其功能与新华字典、现代汉语词典、牛津高阶英汉词典等各类中英文词典类似,基本涵盖了全部常用中英文字词句的读音、释义及用法,是语言学习和写作的有利工具。

 

Copyright © 2004-2024 vtrois.com All Rights Reserved
更新时间:2026/4/8 8:23:59