网站首页  词典首页


请输入您要查询的字词:

 

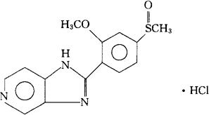
字词 盐酸伊索马唑
类别 中英文字词句释义及详细解析
释义 盐酸伊索马唑

C14H13N3O2S·HCl=323.80

CAS-87359-33-9,CAS-86315-52-8(isomazole)

2-[2-甲氧-4-(甲基亚磺酰)苯基]-1H-咪唑并[4,5-c]吡啶,单盐酸盐。

2-[2-Methoxy-4-(methylsulfinyl)phenyl]-1H imidazo[4,5-c]pyridine,monohydrochloride.

强心药。

Isomazole Hydrochloride,LY 175326,EMD 41000.

INN(Isomazole),USAN.

随便看

 

离鸟网收录3541549条中英文词条,其功能与新华字典、现代汉语词典、牛津高阶英汉词典等各类中英文词典类似,基本涵盖了全部常用中英文字词句的读音、释义及用法,是语言学习和写作的有利工具。

 

Copyright © 2004-2024 vtrois.com All Rights Reserved
更新时间:2026/4/6 19:06:16