盐酸伊达比星
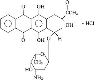
C26H27NO9·HCl=533.96 CAS-57825-57-0 CAS-58957-92-9(idarubicin) (7S-顺式)-9-乙酰-7-[(3-氨基-2,3,6-三脱氧-α-L-来苏-己吡喃糖基)氧]7,8,9,10-四氢-6,9,11-三羟-5,12-并四苯二酮盐酸盐。 (7S-cis)-9-Acetyl-7-[(3-amino-2,3,6-trideoxy-α-Llyxo-hexopyranosyl)oxy]-7,8,9,10-tetrahydro-6,9-11-trihydroxy5,12-naphthacenedione,hydrochloride.(1S,3S)-3-乙酰-1,2,3,4,6,11-六氢-3,5,12-三羟基-6,11-二氧代-1-并四苯基3-氨基2,3,6-三去氧-α-L来苏-己吡喃糖苷盐酸盐。 (1S,3S)-3-Acetyl-1,2,3,4,6,11-hexahydro-3,5,12-trihydroxy-6,11-dioxo-1-naphthacenyl 3-amino-2,3,6-trideoxy-α-L-lyxo-hexopyranoside,hydrochloride. 4-去甲氧基柔毛霉素。 4-Demethoxydaunomycim. 抗肿瘤药。 Idarubicin Hydrochloride,IMI 30,NSC 256439. INN & BAN(Idarubicin),USAN.  |