网站首页  词典首页


请输入您要查询的字词:

 

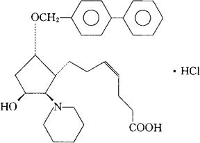
字词 盐酸伐哌前列素
类别 中英文字词句释义及详细解析
释义 盐酸伐哌前列素

C30H39NO4·HCl=514.10

CAS-87248-13-3;

CAS-85505-64-2(vapiprost)

7-[5-[(1,1′-联苯)-4-基甲氧]-3-羟-2-(1-哌啶基)环

戊基]-4-庚烯酸,盐酸盐,[1R-[1α(z),2β 3β 5α]]-。

4-Heptenoic acid,7-[5-[(1,1′-biphenyl)-4-ylmethoxy]-3-hydroxy-2-(1-piperidinyl)cyclopentyl]-,hydrochloride,[1R-[1α(Z),2β 3β 5α]]-.

(±)-(4Z)-7-[(1R,2R,3S,5S)-5-(4-联苯甲氧)-3-羟-2-哌啶环戊基]-4-庚烯酸,盐酸盐。

(±)-(4Z)-7-[(1R,2R,3S,5S)-5-(4-Biphenylmethoxy)-3-hydroxy-2-piperidinocyclopentyl]-4-heptenoci acid,hydrochloride.

前列腺素类药。

Vapiprost Hydrochloride,GR 32191B,GR 32191(vapiprost).

INN & BAN(Vapiprost),USAN.

随便看

 

离鸟网收录3541549条中英文词条,其功能与新华字典、现代汉语词典、牛津高阶英汉词典等各类中英文词典类似,基本涵盖了全部常用中英文字词句的读音、释义及用法,是语言学习和写作的有利工具。

 

Copyright © 2004-2024 vtrois.com All Rights Reserved
更新时间:2026/4/6 19:58:00