盐酸优卡托品[中]
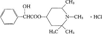
C17H25NO3·HCl=327.85 CAS-536-93-6 1,2,2,6-四甲基-4-羟基哌啶扁桃酸酯盐酸盐。 1,2,2,6-Tetramethyl-4-piperidyl mandelate hydrochloride. α-羟基苯乙酸1,2,2,6-四甲基-4-哌啶醇酯盐酸盐。 α-Hydroxybenzeneacetic acid 1,2,2,6-tetramethyl-4-piperidinyl ester,hydrochloride. 眼用抗胆碱药。 Eucatropine Hydrochloride,Euphthalmin. USAN,MI.  |