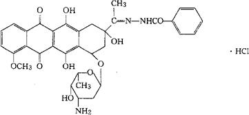
盐酸佐柔比星
C34H35N3O10·HCl=682.13 CAS-36508-71-1 CAS-54083-22-6(zorubicin) (2S,顺式)苯甲酸[1-[4-[(3-氨基-2,3,6-三脱氧-α-L-来苏吡喃己糖基)氧]-1,2,3,4,6,11-六氢-2,5,12-三羟-7-甲氧-6,11-二氧代-2-并四苯基]亚乙基]酰肼单盐酸盐。 (2S,cis)-Benzoicacid[1-[4-[(3-amino-2,3,6-trideoxy-α,L-hyxohexopyranosyl)oxy]-1,2,3,4,6,11-hexahydro-2,5,12-trihydroxy-7-methoxy-6,11-dioxo2-naphthacenyl]ethylidene]hydrazide monohydrochloride. 苯甲酸酰肼3-腙,单盐酸柔毛霉素。 Benzoic acid hydrazide,3-hydrazone with daunorubicin monohydrochloride. 抗肿瘤药。 Zorubicin Hydrochloride,Rubidazone,RP 22050 HCl,NSC-164011. INN,USAN,MI.  |