盐酸依索比星
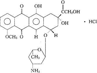
C27H29NO10·HCl=563.99 CAS-63950-06-1 CAS-63521-85-7(esorubicin) [2S-[2α(8R*10R*)4β,6β]]-10-[(4-氨基四氢-6-甲基-2H-吡喃-2-基)氧]-7,8,9,10-四氢-6,8,11-三羟基-8-(羟基乙酰)-1-甲氧基-5,12-并四苯二酮盐酸盐。 [2S-[2α(8R*10R*)4β,6β]]-10-[(4-Aminotetrahydro-6-methyl-2H-pyran-2-yl)oxy]-7,8,9,10-tetrahydro-6,8,11-trihydroxy-8-(hydroxyacetyl)-1-methoxy-5,12-naphthacenedione,hydrochloride. (8S,10S)-10-[[(2S,4R,6S)-4-氨基四氢-6-甲基-2H-吡喃-2-基]氧]-8-乙醇酰-7,8,9,10-四氢-6,8,11-三羟基-1-甲氧基-5,12-并四苯二酮盐酸盐。 (8S,10S)-10-[[(2S,4R,6S)-4-Aminotetrahydro-6-methyl-2H-pyran-2-yl]oxy]-8-glycoloyl-7,8,9,10-tetrahydro-6,8,11-trihydroxy-1-methoxy-5,12-naphthacenedione hydrochloride. 抗生素类药。 Esorubicin Hydrochloride,IMI 58. INN,USAN.  |