盐酸克林霉素[典]
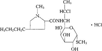
C18H33ClN2O5S·HCl=461.44 CAS-21462-39-5 甲基7-氯-6,7,8-三脱氧-6-(1-甲基-反式-4-丙基-L2-吡咯烷甲酰胺基)-1-硫代-L-苏-α-D-半乳糖-辛吡喃甙盐酸盐。 Methyl 7-chloro-6,7,8-trideoxy-6-(1-methyl-trans4-propyl-L-2-pyrrolidinecarboxamido)-1-thio-L-threo-α-D-galacto-octopyranoside,monohydrochlor-ide. 抗生素类药。用于厌氧菌、葡萄球菌、链球菌、肺炎球菌等感染。 盐酸氯洁霉素,盐酸氯林可霉素,盐酸林大霉素。 Clindamycin Hydrochloride,Cleocin Hydrochloride. 盐酸克林霉素胶囊(盐酸氯洁霉素胶囊)。 BP,USAN,USP,MI. 
|