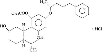
盐酸南曲朵
C27H35NO4·HCl=474,04 CAS-56511-42-4 CAS-65511-41-3(nantradol) 5,6,6a,7,8,9,10,10a-八氢-6-甲基-3-(1-甲基-4-苯基丁氧基)-(1,9-)菲啶二醇,1-醋酸盐,盐酸盐。 5,6,6a,7,8,9,10,10a-Octahydro-6-methyl-3-(1-methyl-4-phenylbutoxy)-1,9-phenanthridinediol,1-acetate,hydrochloride. (±)-5,6,6aβ,7,8,9a,10,10aα-八氢-6β-甲基-3-(1-甲基-4-苯基丁氧)-1,9-菲啶二醇1-醋酸盐,盐酸盐。 (±)-5,6,6aβ,7,8,9a,10,10aα-Octahydro-6β-methyl3-(1-methyl-4-phenylbutoxy)-1,9-phenanthridinediol 1-acetate,hydrochloride. 镇痛药,镇吐药。 Nantradol Hydrochloride,CP-44,001-1. INN(Nantradol),USAN.  |