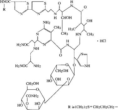
盐酸博来霉素
C55H84N17O21S3·HCl=1451.91 CAS-11056-06-7(bleomycin) N′-[3-(二甲锍基)丙基]博来酰胺盐酸盐。 N′-[3-(Dimethylsulfonio)propyl]bleomycinamide hydrochloride. 抗肿瘤药。用于上皮细胞癌、恶性淋巴瘤、颈部鱼鳞癌及牛皮癣等。 盐酸争光霉素。 Bleomycin Hydrochloride,Bleocin,Bleomycin A2,Blonoxane. 注射用盐酸争光霉素。 JP,USAN.  |