盐酸占替诺
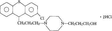
C23H31Cl3N2OS=489.95 CAS-17162-32-2 CAS-14008-71-0(xanthiol) 4-[3-(2-氯硫代鹯吨-9-基)丙基]-1-哌嗪丙醇盐酸盐。 4-[3-(2-Chlorothioxanthen-9-yl)propyl]-1-piperazinepropanol hydrochloride. 镇吐药,精神镇静药。 盐酸占噻吨。 Xanthiol Hydrochloride,Daxid,S 9-888. INN(Xanthinol),USAN. 
|