网站首页  词典首页


请输入您要查询的字词:

 

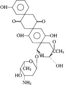
字词 盐酸卡柔比星
类别 中英文字词句释义及详细解析
释义 盐酸卡柔比星

C26H27NO10·HCl=549.96

CAS-52794-97-5

CAS-50935-04-1

8-乙酰-10-[(3-氨基-2,3,6-三脱氧-α-L-来苏-吡喃己糖基)氧]-7,8,9,10-四氢-1,6,8,11-四羟基-5,12-并四苯二酮盐酸盐,(8S-顺式)。

8-Acetyl-10-[(3-amino-2,3,6-trideoxy-α-L-lyxohexopyranosyl)oxy]-7,8,9,10-tetrahydro-1,6,8,11-tetrahydroxy-5,12-naphthacenedione,hydrochloride,(8S-cis).

(1S,3S)-3-乙酰-1,2,3,4,6,11-六氢-3,5,10,12-四羟基-6,11-二氧代-1-并四苯基3-氨-2,3,6-三脱氧-α-l-来苏-吡喃己糖苷盐酸盐。

(1S,3S)-3-Acetyl-1,2,3,4,6,11-hexahydro-3,5,10,12-tetrahydroxy-6,11-dioxo-1-naphthacenyl 3-amino-2,3,6-trideoxy-α-L-lyxo-hexopyranoside hydrochloride.

抗生素类药,抗肿瘤药。

盐酸卡米诺霉素,盐酸卡鲁比星。

Carubicin Hydrochloride,Carminomycin Hydrochloride,NSC-180024.

INN,USAN.

随便看

 

离鸟网收录3541549条中英文词条,其功能与新华字典、现代汉语词典、牛津高阶英汉词典等各类中英文词典类似,基本涵盖了全部常用中英文字词句的读音、释义及用法,是语言学习和写作的有利工具。

 

Copyright © 2004-2024 vtrois.com All Rights Reserved
更新时间:2026/4/6 18:07:27