网站首页  词典首页


请输入您要查询的字词:

 

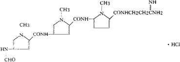
字词 盐酸司他霉素
类别 中英文字词句释义及详细解析
释义 盐酸司他霉素

C22H27N9O4·HCl=4517.97

CAS-6576-51-8

N″-(2-脒乙基)-4-甲酰胺基-1,1′,1″-三甲基-N,4′∶N′,4″-三重[吡咯-2-羧酰胺]单盐酸盐。

N″-(2-Amidinoethyl)-4-formamido-1,1′,1″-trimethyl-N,4′∶N′,4″-ter[pyrrole-2-carboxamide]monohydrochloride.

抗生素类药。

Stallimycin Hydrochloride,Herperal.

INN,USAN,MI.

随便看

 

离鸟网收录3541549条中英文词条,其功能与新华字典、现代汉语词典、牛津高阶英汉词典等各类中英文词典类似,基本涵盖了全部常用中英文字词句的读音、释义及用法,是语言学习和写作的有利工具。

 

Copyright © 2004-2024 vtrois.com All Rights Reserved
更新时间:2026/4/7 2:32:18