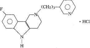
盐酸吉伏曲林
C19H20FN3·HCl=345.85 CAS-112243-58-0 CAS-107266-06-8(gevotroline) 8-氟-2,3,4,5-四氢-2-[3-(3-吡啶基)丙基]-1H-吡啶并[4,3-b]吲哚单盐酸盐。 8-Fluoro-2,3,4,5-tetrahydro-2-[3-(3-pyridinyl)propyl]-1H-pyrido[4,3-b]indole,monohydrochloride. 抗精神病药。 Gevotroline Hydrochloride,WY-47384. INN(Gevotroline),USAN.  |