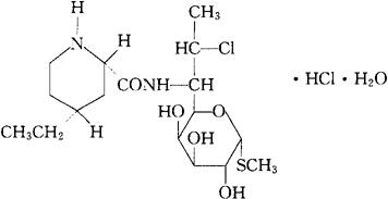
盐酸吡利霉素
C17H31ClN2O5S·HCl·H2O=465.43 CAS-77495-92-2(monohydrate) (2S-顺式)-甲基7-氯-6,7,8-三去氧-6-[[(4-乙基-2-哌啶基)羰基]氨基]-1-硫代-L-苏-α-D-半乳糖基-辛吡喃糖苷单盐酸盐,一水化合物。 (2S-cis)-Methyl 7-chloro-6,7,8-trideoxy-6-[[(4-ethyl-2-piperidinyl)carbonyl]amino]-1-thio-L-threoα-D-galacto-octopyranoside,monohydrochloride,monohydrate. 甲基7-氯-6,7,8-三去氧-6-顺-4-乙基-L-哌啶甲酰胺)-1-硫代-L-苏-α-D-半乳糖基-辛吡喃糖苷单盐酸盐一水合物。 Methyl 7-chloro-6,7,8-trideoxy-6-cis-4-ethyl-Lpipecolamido)-1-thio-L-threo-α-D-galacto-octopyranoside monohydrochloride monohydrate. 抗生素类药,抗菌药,抗疟药。 Pirlimycin Hydrochloride,U-57,930E. INN(Prilimycin),USAN.  |