网站首页  词典首页


请输入您要查询的字词:

 

字词 盐酸呋喃硫胺
类别 中英文字词句释义及详细解析
释义 盐酸呋喃硫胺

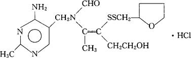
C17H26N4O3S2·HCl=435.01

CAS-804-30-8(fursultiamine)

N-[(4-氨基-2-甲基-5-嘧啶基)甲基]-N-[4-羟-1-甲基-2-[(四氢呋喃甲基)二硫代]-1-丁烯基]甲酰胺盐酸盐。

N-[(4-Amino-2-methyl-5-pyrimidinyl)methyl]-N[4-hydroxy-1-methyl-2-[(tetrahydrofurfuryl) dithio]-1-butenyl]formamide hydrochloride.

维生素类药。用于各种神经痛、偏头痛、多发性神经炎、小儿麻痹后遗症及夜尿症等。

Fursulftiamine Hydrochloride.

注射用盐酸呋喃硫胺。

随便看

 

离鸟网收录3541549条中英文词条,其功能与新华字典、现代汉语词典、牛津高阶英汉词典等各类中英文词典类似,基本涵盖了全部常用中英文字词句的读音、释义及用法,是语言学习和写作的有利工具。

 

Copyright © 2004-2024 vtrois.com All Rights Reserved
更新时间:2026/4/7 1:34:30