盐酸咪达唑仑
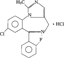
C18H13ClFN3·HCl=362.23 CAS-59467-96-8 CAS-59467-70-8(midazolam) 8-氯-6-(2-氟苯基)-1-甲基-4H-咪唑并[1,5-a][1,4]-苯并二氮杂 ,单盐酸盐。 8-Chloro-6-(2-fluorophenyl)-1-methyl-4H-imidazo[1,5-a][1,4]-benzodiazepine,monohydrochloride. 麻醉药,安眠药。 盐酸咪唑二氮 。 Midazolam Hydrochloride,Hypnovel,Versed,Ro21-3981/003. INN(Midazolam),USAN.  |