网站首页  词典首页


请输入您要查询的字词:

 

字词 盐酸哌仑西平[中]
类别 中英文字词句释义及详细解析
释义 盐酸哌仑西平[中]

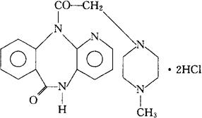
C19H21N5O2·HCl=424.33

CAS-28797-61-7(pirenzepine)

CAS-29868-97-1

5,11-二氢-11-[(4-甲基-1-哌嗪基)乙酰]-6H-吡啶并[2,3-b][1,4]苯并二氮杂-6-酮二盐酸盐。

5,11-Dihydro-11-[(4-methyl-1-piperazinyl)acetyl]-6H-pyrido[2,3-b][1,4]benzodiazepin-6-one,dihydrochloride.

制酸药。用于治疗胃溃疡病。

Pirenzepine,Gastrozepin.

INN,BAN,JAN,USAN.

随便看

 

离鸟网收录3541549条中英文词条,其功能与新华字典、现代汉语词典、牛津高阶英汉词典等各类中英文词典类似,基本涵盖了全部常用中英文字词句的读音、释义及用法,是语言学习和写作的有利工具。

 

Copyright © 2004-2024 vtrois.com All Rights Reserved
更新时间:2026/5/25 21:46:10