网站首页  词典首页


请输入您要查询的字词:

 

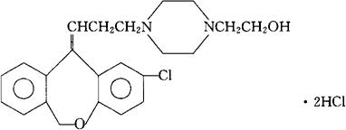
字词 盐酸哌氧平
类别 中英文字词句释义及详细解析
释义 盐酸哌氧平

C23H27ClN2O2·2HCl=471.85

CAS-14008-46-9

CAS-14008-66-3(pinoxepin)

(Z)-4-[3-(2-氯二苯并[b,c]氧杂-11(6H)-亚基)丙基]-1-哌嗪乙醇二盐酸盐。

(Z)-4-[3-(2-Chlorodibenz[b,e]oxepin-11(6H)-ylidene)propyl]-1-piperazineethanol,dihydrochloride.

安定药。

Pinoxepin Hydrochloride,P5227.

INN,USAN.

随便看

 

离鸟网收录3541549条中英文词条,其功能与新华字典、现代汉语词典、牛津高阶英汉词典等各类中英文词典类似,基本涵盖了全部常用中英文字词句的读音、释义及用法,是语言学习和写作的有利工具。

 

Copyright © 2004-2024 vtrois.com All Rights Reserved
更新时间:2026/5/25 11:27:20