盐酸哌泊索仑
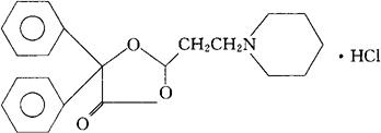
C22H25NO3·HCl=387.91 CAS-18174-58-8 CAS-23744-24-3(pipoxolan) 5,5-二苯基-2-[2-(1-哌啶基)乙基]-1,3-二氧戊环-4-酮盐酸盐。 5,5-Diphenyl-2-[2-(1-piperidinyl)ethyl]-1,3-dioxolan-4-one,hydrochloride. 5,5-二苯基-2-(2-哌啶乙基)-1,3-二氧戊环-4-酮盐酸盐。 5,5-Diphenyl-2-(2-piperidinoethyl)-1,3-dioxolan-4-one hydrochloride. 解痉药,肌肉松弛药。 盐酸匹沧克西兰。 Pipoxolan Hydrochloride,Paraespas,Rocofin,Rowapraxin,Rowell,BR 18. INN(Pipoxolan),USAN.  |