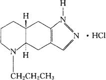
盐酸喹吡罗
C13H21N3·HCl=255.79 CAS-85798-08-9 CAS-85760-74-3(quinpirole) (4aR-反式)-4,4a,5,6,7,8,8a,9-八氢5-丙基-1H-吡唑并[3,4-g]喹啉,单盐酸盐。 (4aR-trans)-4,4a,5,6,7,8,8a,9-Octahydro-5-propyl-1H-pyrazolo[3,4-g]quinoline,monohydrochloride. (-)-(4aR,8aR)-4,4a,5,6,7,8,8a,9-八氢-5-丙基-1H-吡唑并[3,4-g]喹啉单盐酸盐。 (-)-(4aR,8aR)-4,4a,5,6,7,8,8a,9-Octahydro-5-propyl-1H-pyrazolo[3,4-g]quinoline monohydrochloride. 抗高血压药,多巴胺药。 Quinpirole Hydrochloride,LY171555. INN(Quinoirole),USAN.  |