网站首页  词典首页


请输入您要查询的字词:

 

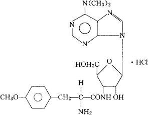
字词 盐酸嘌罗霉素
类别 中英文字词句释义及详细解析
释义 盐酸嘌罗霉素

C22H29N7O5·2HCl=544.44

CAS-58-58-2

CAS-53-79-2(puromycin)

(S)-3′-[[2-氨基-3-(4-甲氧苯基)-1-氧代丙基]氨基]-3′-去氧-N,N-二甲基腺苷,盐酸盐。

(S)-3′-[[2-Amino-3-(4-methoxyphenyl)-1-oxopropyl]amino]-3′-deoxy-N,N-dimethyladenosine,hydrochloride,

3′-(L-α-氨基-对-甲氧基氢化肉桂酰胺基)-3′-去氧-N,N-二甲基腺苷二盐酸盐。

3′-(L-α-Amino-p-methoxyhydrocinnamamido)-3′-deoxy-N,N-dimethyladenosine dihydrochloride.

抗肿瘤药,抗原虫药(锥虫属)。

Puromycin Hydrochloride,CL 16,536,NSC-3055.

INN(Puromycin),USAN.

随便看

 

离鸟网收录3541549条中英文词条,其功能与新华字典、现代汉语词典、牛津高阶英汉词典等各类中英文词典类似,基本涵盖了全部常用中英文字词句的读音、释义及用法,是语言学习和写作的有利工具。

 

Copyright © 2004-2024 vtrois.com All Rights Reserved
更新时间:2026/4/6 18:40:26