网站首页  词典首页


请输入您要查询的字词:

 

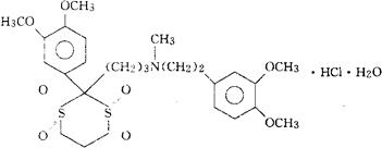
字词 盐酸噻帕米
类别 中英文字词句释义及详细解析
释义 盐酸噻帕米

C26H37NO8S·HCl·H2O=610.18

CAS-87434-83-1

CAS-57010-31-8(tiapamil)

2-(3,4-二甲氧苯基)-N-[2-(3,4-二甲氧苯基)乙基]N-甲基-1,3-二噻烷-2-丙胺,1,1,3,3-四氧化物,盐酸盐,-水化合物。

1,3-Dithiane-2-propanamine,2-(3,4-dimethoxyphenyl)-N-[2-(3,4-dimethoxyphenyl)ethyl]-N-methyl-,1,1,3,3-tetraoxide,hydrochloride,monohydrate.

N-(3,4-二甲氧苯乙基)-2-(3,4-二甲氧苯基)-N-甲基-间-二噻烷-2-丙胺1,1,3,3-四氧化物盐酸盐-水化合物。

N-(3,4-Dimethoxyphenethyl)-2-(3,4-dimethoxyphenyl)-N-methyl-m-dithiane-2-propylamine 1,1,3,3-tetraoxide hydrochloride monohydrate.

冠脉扩张药,钙拮抗药。

Tiapamil Hydrochloride,Ro 111781/023.

INN & BAN(Tiapamil),USAN.

随便看

 

离鸟网收录3541549条中英文词条,其功能与新华字典、现代汉语词典、牛津高阶英汉词典等各类中英文词典类似,基本涵盖了全部常用中英文字词句的读音、释义及用法,是语言学习和写作的有利工具。

 

Copyright © 2004-2024 vtrois.com All Rights Reserved
更新时间:2026/4/7 3:00:31