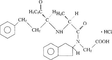
盐酸地拉普利
C26H32N2O5·HCl=489.01 CAS-83435-67-0 CAS-83435-66-9(delapril) N-(2,3-二氢-1H-茚-2-基)-N-[N-[1-(乙氧羰基)-3-苯丙基]-L-丙氨酰甘氨酸]单盐酸盐,(S)。 Glycine,N-(2,3-dihydro-1H-inden-2-yl)-N-[N-[1-(ethoxycarb-onyl)-3-phenylpropyl]L-alanyl]-,monohydrochloride,(S). (S)-2-[[(S)-1-[(羧甲基)-2-二氢化茚基氨甲酰]-乙基]氨基]-4-苯丁酸乙酯盐酸盐。 Ethyl(S)-2-[[(S)-1-[(carboxymethyl)-2-indanylcarbamoyl]-ethyl]amino]-4-phenylbutyrate,monohydrochloride. 抗高血压药。 Delapril Hydrochloride,REV 6000A,Adacut. INN(Delapril),USAN.  |