网站首页  词典首页


请输入您要查询的字词:

 

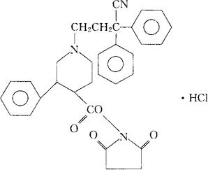
字词 盐酸地芬昔米
类别 中英文字词句释义及详细解析
释义 盐酸地芬昔米

C32H31N3O4·HCl=558.08

CAS-37800-79-6

CAS-47806-92-8(difenoximide)

4-[[(2,5-二氧代-1-吡咯烷基)氧]羰基]-α,α,4-三苯基-1-哌啶丁烷腈,单盐酸盐。

1-Piperldinebutanenitrile,4-[[(2,5-dioxo-1-pyrrolidinyl)oxy]carbonyl]-α,α,4-triphenyl-,monhydrochloride.

N-[[1-(3氰基-3,3-二苯丙基)-4-苯基异哌啶甲酰]氧]琥珀酰亚胺单盐酸盐。

N-[[1-(3-Cyano-3,3-diphenylpropyl)-4-phenylisonipecoto-yl]oxy]succinimide monohydrochloride.

止泻药。

Difenoximide Hydrochloride,SC-26100.

INN(Difenoximide),USAN.

随便看

 

离鸟网收录3541549条中英文词条,其功能与新华字典、现代汉语词典、牛津高阶英汉词典等各类中英文词典类似,基本涵盖了全部常用中英文字词句的读音、释义及用法,是语言学习和写作的有利工具。

 

Copyright © 2004-2024 vtrois.com All Rights Reserved
更新时间:2026/4/8 12:50:43