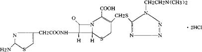
盐酸头孢唑胺
C18H23N9O4S3·2HCl=598.54 CAS-66309-69-1 (6R,7R)-7-[2-(2-氨基-4-噻唑基)乙酰胺基]-3-[[[1-[2(二甲氨基乙基)]-1H-四唑-5-基]硫代]甲基]-8-氧代-5-硫杂-1-氮杂双环[4.2.0]-辛-2-烯-2-羧酸二盐酸盐。 (6R,7R)-7-[2-(2-Amino-4-thiazolyl)acetamido]-3-[[[1-[2-(dimethylamino)ethyl]-1H-tetrazol-5-yl]thio]methyl]-8-oxo-5-thia-1-azabicyclo[4.2.0]oct2-ene-2-carboxylic acid dihydrochloride. 抗生素类药。 二盐酸头孢替安,泛司博林,盐酸头孢替安。 Cefotiam Hydrochloridum,Pansporin,Cefotiam Dihydrochloride,Takedrol,Halospor. USAN,MI.  |