网站首页  词典首页


请输入您要查询的字词:

 

字词 盐酸头孢甲肟
类别 中英文字词句释义及详细解析
释义 盐酸头孢甲肟

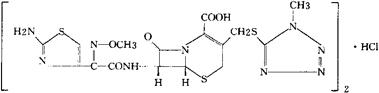
(C16H17N9O5S3)2·HCl=1059.56

CAS-75738-58-8

CAS-65085-01-0(cefmenoxime)

[6R-[6α,7β(Z)]]-7-[[(2-氨基-4-噻唑基)(甲氧亚氨

基)乙酰]氨基]-3-[[(1-甲基-1H-四唑-5-基)硫代]甲基]-8-氧代-5-硫杂-1-氮杂双环[4.2.0]辛-2-烯-2-羧

酸盐酸盐(2∶1)。

7-[[(2-Amino-4-thiazolyl)(methoxyimino)acetyl]amino]-3-[[(1-methyl-1H-tetrazol-5-yl)thio]methy]-8-oxo-5-thia-1-azabicyclo[4.2.0]oct-2-ene2-carboxylic acid,hydrochloride(2∶1)[6R-[6α,7β(Z)]]-.

(6R,7R)-7-[2-(氨基-4-噻唑基)乙醛酰氨基]-3-[[(1-甲基-1H-四唑-5-基)硫]甲基]-8-氧代-5-硫杂-1-氮杂环[4.2.0]辛-2-烯-2-羧酸72-(Z)-(O-甲基肟)盐酸盐(2∶1)。

(6R,7R)-7-[2-(Amino-4-thiazolyl)glyoxylamido]-3-[[1-methyl-1H-tetrazol-5-yl)thio]-methyl]-8-oxo-5-thia-1-azabicyclo[4.2.0]oct-2-ene-2-carboxylic acid 72-(Z)-(O-methyloxime),hydrohloride(2∶1).

抗生素类药,抗菌药。

盐酸氨噻肟唑头孢菌素,盐酸头孢噻肟四唑。

Cefmenoxime Hydrochloride,Abbott-50192(HCl),SCE-1365.

INN,USAN,USP.

随便看

 

离鸟网收录3541549条中英文词条,其功能与新华字典、现代汉语词典、牛津高阶英汉词典等各类中英文词典类似,基本涵盖了全部常用中英文字词句的读音、释义及用法,是语言学习和写作的有利工具。

 

Copyright © 2004-2024 vtrois.com All Rights Reserved
更新时间:2026/4/6 18:31:25