盐酸奥昔芬净
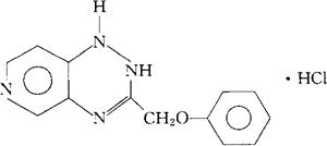
C13H11N4O·HCl=276.72 CAS-55242-74-5 CAS-64057-48-3(oxifungin) 1,2-二氢-3-(苯氧甲基)吡啶并[3,4-e]1,2,4-三嗪单盐酸盐。 1,2-Dihydro-3-(phenoxymethyl)pyrido[3,4-e]-1,2,4-triazine,monohydrochloride. 1,2-二氢-3-(苯氧甲基)吡啶并[3,4-e]偏三嗪单盐酸盐。 1,2-Dihydro-3-(phenoxymethyl)pyrido[3,4-e]astriazine monohydrochloride. 抗生素药。 Oxifungin Hydrochloride,EU-3421. INN(Oxifungin),USAN.  |